Fanyi Meng bio photo

The world is my oyster.

Email

Twitter

Github

Google Scholar

Gallery

  • I built a gallery online, where you can see my photography of daily life and wild day.
  • This is a section where I share about my daily life. Chinese will be the primary language here. I apologize for any inconvenience caused if you don’t understand Chinese.

2023/11/07

The speech could be summarized by three phrases : 学我者死,似我者死,近我者死。

2023/10/28

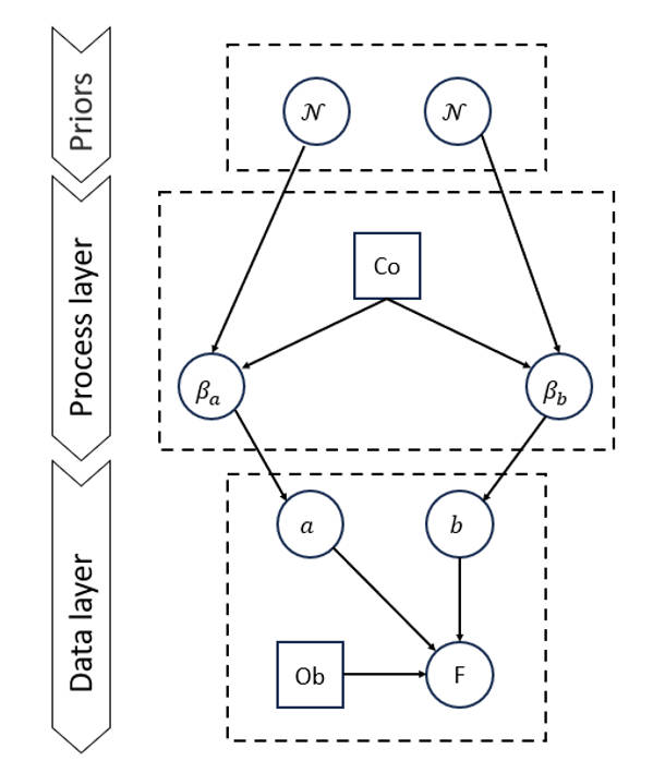
All models are wrong, but some are useful.

Deep learning did not emerge out of thin air. As illustrated below, traditional models and deep learning have the same underlying structure. However, deep learning is simpler in that it eliminates complex refinement and intricate mathematical design. All you need is to input the dataset and train it.[Video,PDF]

Bayesian Model
Multilayer Perceptron


2023/10/15

相比写论文,coding爽死了,即使是改一天代码

2023/9/21

有点刺激,第一天摸方向盘就上马路实战了😀,后座睡得迷迷糊糊被喊起来练车。。。

在交大抓怕:一群复旦堵着交大庙门,别人不敢进,保安不敢栏🤣

2023/9/3

2023/9/13

你倒是不见外🤗

2023/9/3

希望py包开发者能做做版本控制,上半部分代码本地跑得出来,下半部分服务器跑的出来😥

一只不怕人的小白鹭


2023/8/30

结束了舟山之行! 伙食很满意🥰


2023/8/21

昨儿当了一回特种兵,一日往返沪杭,本以为旅游淡季没啥人,去忽略了亚运会这件事😫


2023/8/21

很喜欢lks 这期视频,或许这就是摄影的魅力吧! 还有,哈苏的色彩科学真令人羡慕😉


2023/8/7

我以为我战胜了奥密克绒,其实我是战胜了抗原试剂盒😥

发烧第二天
发烧第四天


2023/8/4

🐏🐏

2023/8/2

Furry and Lovely🥰🥰🥰


2023/8/1

挑战极限,月底交出论文😔


2023/7/31

I leave no trace of wings in the air, but I am glad I have had my flight.


2023/7/30

A lonely dark cloud😉


2023/7/29

0:04 下班😰😰😰😰😰


2023/7/28

阿乐是如何拍自己女朋友的📸,调色:Luofu See more

“即使第一次按下快门📸,也可以为爱的人拍下爱的作品”


2023/7/26

伟大摄影师的诞生–by阿乐😘

恶魔1
恶魔2


2023/7/25

每次想扛相机出去,看到自己的一内存卡照片就陷入沉思😢


2023/7/24

有沪上阿姨和空调,这里不是家哪里是家🥰